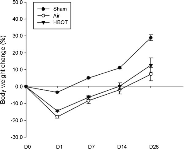
Figure 4

Weight changes on day 1, 7, 14 and 28. Body weight of rats expressed as percent difference of preoperative weight. There were no statistically significant differences in the baseline weight between the groups. There were no statistically significant differences in weight between the HBOT group as compared to air group at each time point. The animal number was 20, 20 and 22, respectively in the sham, air and HBOT group.